Номер 295 - ГДЗ Алгебра 7 класс. Мерзляк, Полонский. Учебник. Страница 60

Вернуться к содержанию учебника

Страница 60

292 293 294 295 296 297 298

Вопрос

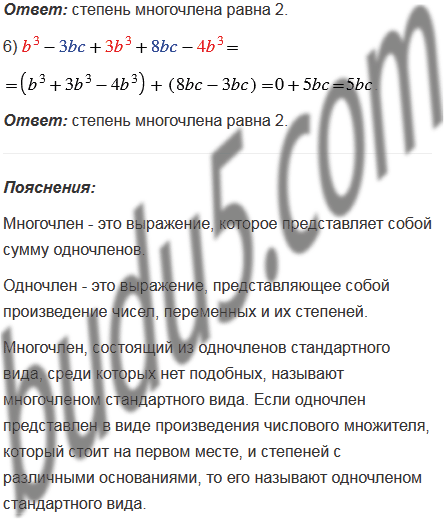
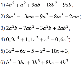
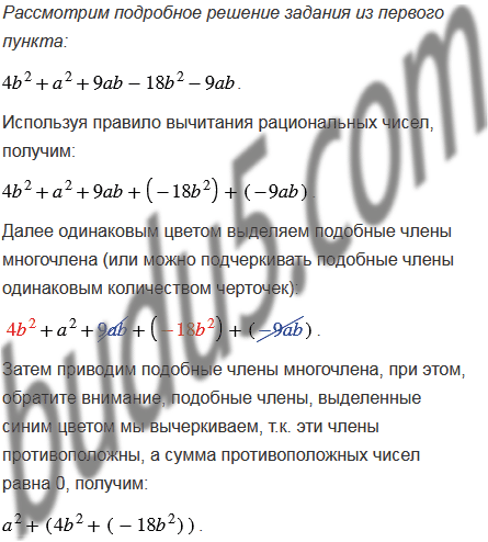
Преобразуйте выражение в многочлен стандартного вида. Укажите его степень:

Подсказка

Вспомните:

  1. Что называют многочленом, его стандартный вид и степень.
  2. Что называют одночленом, его стандартный вид и степень.
  3. Подобные слагаемые.
  4. Правила сложения рациональных чисел.
  5. Правило вычитания рациональных чисел.
  6. Противоположные числа.
  7. Модуль числа.
  8. Тождественно равные выражения.
  9. Сложение и вычитание десятичных дробей.

Ответ


Вернуться к содержанию учебника