Номер 290 - ГДЗ Алгебра 7 класс. Мерзляк, Полонский. Учебник. Страница 57

Вернуться к содержанию учебника

Страница 57

287 288 289 290 291 292 293

Вопрос

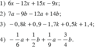
Упростите выражение:

Подсказка

Ответ


Вернуться к содержанию учебника