Вернуться к содержанию учебника
Упражнения для повторения курса алгебры 8 класса. Страница 227
926 927 928 929 930 931 932 933 934 935 936
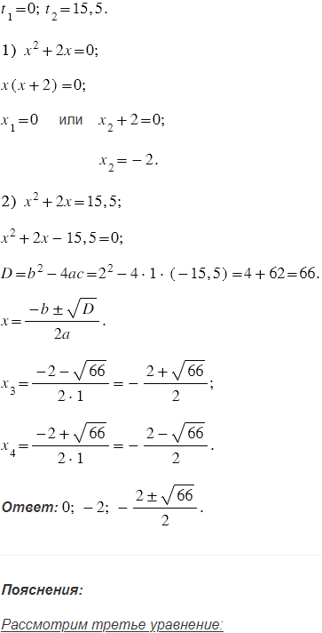
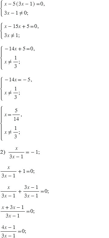
Решите уравнение:
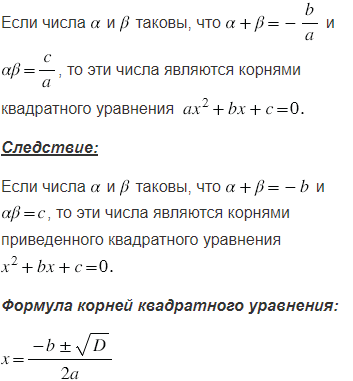
Вспомните: