Номер 923 - ГДЗ Алгебра 8 класс. Мерзляк, Полонский. Учебник. Страница 226

Вернуться к содержанию учебника

Упражнения для повторения курса алгебры 8 класса. Страница 226

920 921 922 923 924 925 926

Вопрос

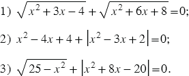
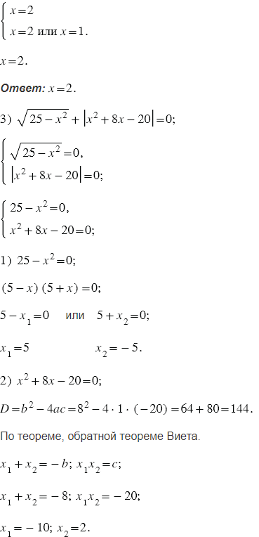
Решите уравнение:

Подсказка

Вспомните:

  1. Что такое уравнение.
  2. Решение уравнений.
  3. Что такое корень уравнения.
  4. Какое уравнение называют квадратным.
  5. Какое выражение называют дискриминантом квадратного уравнения.
  6. Теорему, обратную теореме Виета.
  7. Сложение, вычитание, умножение и деление рациональных чисел.
  8. Что такое арифметический квадратный корень.
  9. Модуль числа.
  10. Разность квадратов двух выражений.
  11. Квадрат разности двух выражений.

Ответ


Вернуться к содержанию учебника