Вернуться к содержанию учебника
Упражнения §23. Страница 192
790 791 792 793 794 795 796 797 798 799 800
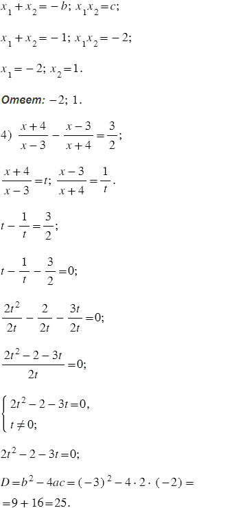
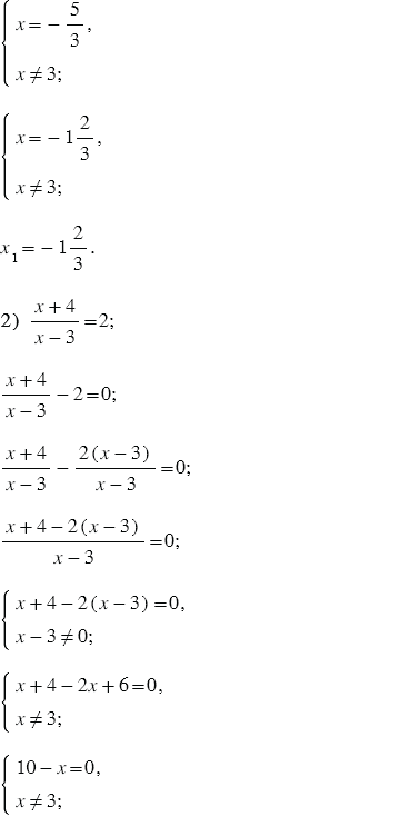
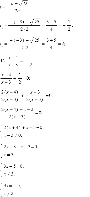
Решите уравнение:
Вспомните: