Номер 785 - ГДЗ Алгебра 8 класс. Мерзляк, Полонский. Учебник. Страница 191

Вернуться к содержанию учебника

Упражнения §23. Страница 191

782 783 784 785 786 787 788

Вопрос

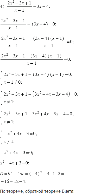
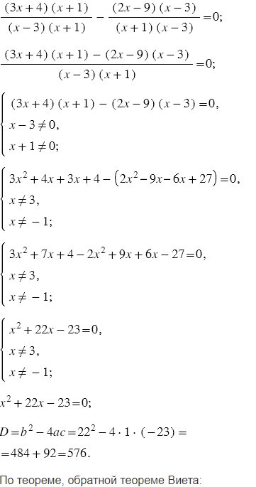
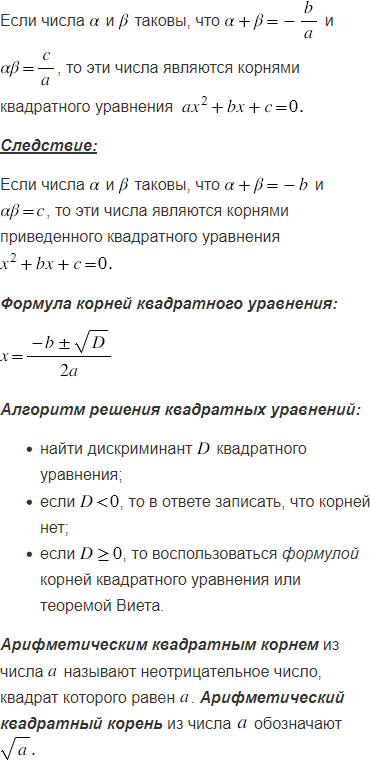
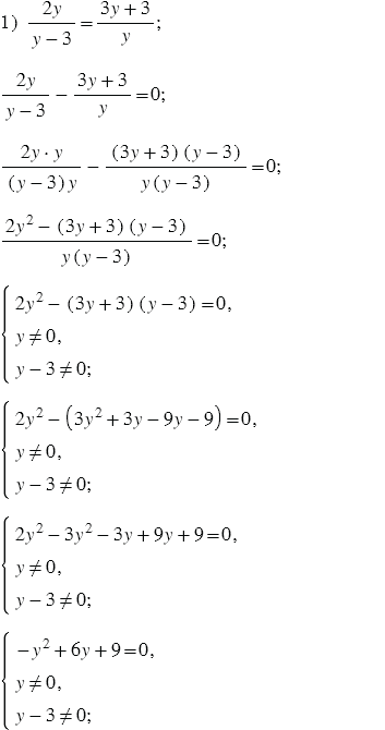
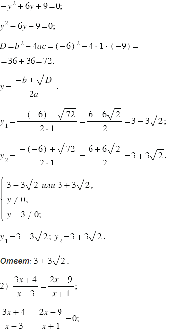
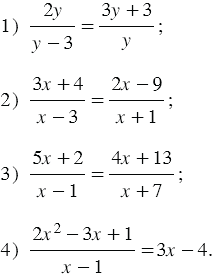
Решите уравнение:

Подсказка

Ответ


Вернуться к содержанию учебника