Номер 763 - ГДЗ Алгебра 8 класс. Мерзляк, Полонский. Учебник. Страница 186

Вернуться к содержанию учебника

Упражнения §22. Страница 186

760 761 762 763 764 765 766

Вопрос

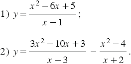
Постройте график функции:

Подсказка

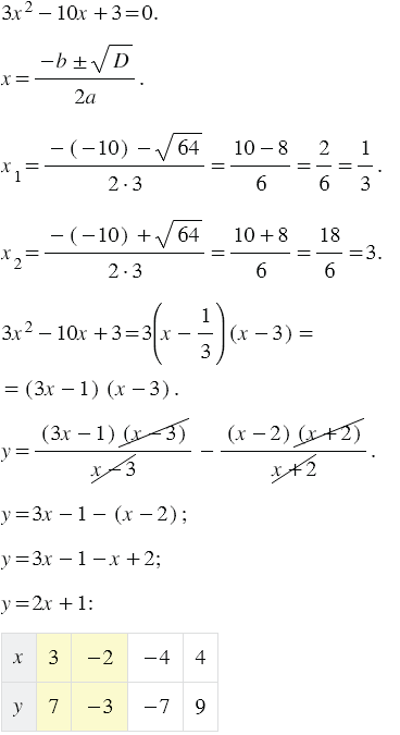
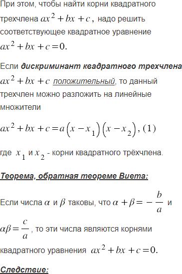
Ответ


Вернуться к содержанию учебника