Номер 1276 - ГДЗ Математика 6 класс. Мерзляк, Полонский. Учебник. Страница 265

Вернуться к содержанию учебника

Страница 265

1273 1274 1275 1276 1277 1278 1279

Вопрос

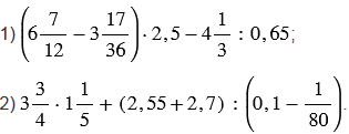
Найдите значение выражения:

Подсказка

Вспомните:

  1. Порядок выполнения действий.
  2. Сложение и вычитание дробей с разными знаменателями.
  3. Приведение дробей к общему знаменателю.
  4. Сложение и вычитание дробей с одинаковыми знаменателями.
  5. Смешанные числа.
  6. Неправильные дроби.
  7. Деление с остатком.
  8. Десятичная запись дробных чисел.
  9. Сложение десятичных дробей.
  10. Сокращение дробей.
  11. Умножение обыкновенных дробей и смешанных чисел.
  12. Деление обыкновенных дробей и смешанных чисел.

Ответ


Вернуться к содержанию учебника