Номер 1029 - ГДЗ Математика 6 класс. Мерзляк, Полонский. Учебник. Страница 220

Вернуться к содержанию учебника

Страница 220

1026 1027 1028 1029 1030 1031 1032

Вопрос

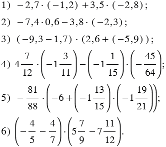
Выполните действия:

Подсказка

Ответ


Вернуться к содержанию учебника