Номер 982 - ГДЗ Математика 6 класс. Мерзляк, Полонский. Учебник. Страница 210

Вернуться к содержанию учебника

Страница 210

979 980 981 982 983 984 985

Вопрос

Упростите выражение и найдите его значение:

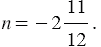
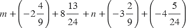
1) 2,8 + + 5,36 + (7,2) + + (7,36), если = 13, = 54;

2) , если ,

Подсказка

Ответ


Вернуться к содержанию учебника