Страница 92 - ГДЗ Математика 4 класс. Моро, Бантова. Учебник часть 2

Старая и новая редакции

Вернуться к содержанию учебника

89 90 91 92 93 94 95

Вопрос

Выберите год учебника

Стр. 92 учебника 2011-2022:

1. В каком случае сложение можно заменить умножением? Покажи на примерах.


Стр. 92 учебника 2023-2024:

1. Составь и реши задачи на сложение и вычитание, используя слова: "Сколько всего ...?", "Сколько осталось?", "... больше, чем...", "... меньше, чем ...", "На сколько ... больше, чем ...?".

Подсказка

Стр. 92 учебника 2011-2022:

Повтори, как называются числа при сложении.


Стр. 92 учебника 2023-2024:

Повтори способы оформления краткой записи к задаче.

Ответ

Стр. 92 учебника 2011-2022:

Умножением можно заменить сумму одинаковых слагаемых:

5 + 5 + 5 + 5 = 5 • 4 = 20;

7 + 7 + 7 = 7 • 3 = 21.


Стр. 92 учебника 2023-2024:

Вариант ответа #1:

У Коли 11 красных шаров и 14 синих. Сколько всего шаров у Коли?

Бабушка приготовила 15 пирожков с капустой. За обедом съели 8 пирожков. Сколько пирожков осталось?

Оле нужно решить 10 примеров, что на 8 больше, чем задач. Сколько задач нужно решить Оле?

В марте положили 80 м асфальта, что на 20 м меньше, чем в апреле. Сколько метров асфальта положили в апреле?

У Ани в коллекции 35 марок, а у Светы - 29 марок. На сколько марок у Ани больше, чем у Светы?

Вариант ответа #2:

Решение

1) В саду посадили 15 яблонь и 23 груши. Сколько всего деревьев посадили?

15 + 23 = 38 (д.)

Ответ: 38 деревьев посадили.


2) Строители должны построить 57 зданий. Готово 35 зданий. Сколько зданий осталось построить?

57 - 35 = 22 (зд.)

Ответ: 22 здания осталось построить.


3) В магазине купили 39 тетрадей, это на 18 больше, чем альбомов. Сколько купили альбомов?

39 - 18 = 21 (ал.)

Ответ: 21 альбом купили.


4) В одной танцевальной группе занимается 25 девочек, что на 3 меньше, чем в другой группе. Сколько девочек занимается во второй танцевальной группе?

25 + 3 = 28 (д.)

Ответ: 28 девочек занимается в другой танцевальной группе.


5) В 1 А учится 27 детей, а в 1 Б - 23 ребёнка. На сколько больше детей учится в 1 А, чем в 1 Б?

27 - 23 = 4 (р.)

Ответ: на 4 ребёнка больше учится в 1 А.


Пояснение





Вопрос

Выберите год учебника

Стр. 92 учебника 2011-2022:

2. Какими знаками обозначаются умножение и деление и как называются выражения, в которых числа соединены знаком умножения? знаком деления?


Стр. 92 учебника 2023-2024:

2. Вспомни, как называются знаки, которые обозначают сложение и вычитание, и выражения, в которых числа соединены знаком сложения; знаком вычитания. Приведи примеры.

Подсказка

Стр. 92 учебника 2011-2022:

Повтори, как называются числа при умножении и делении.


Стр. 92 учебника 2023-2024:

Повтори, как называются выражения при сложении и вычитании.

Ответ

Стр. 92 учебника 2011-2022:

Знаки умножения: • и х.

Знак деления: :.

Выражение, в котором числа соединены знаком умножения, называется произведение.

Выражение, в котором числа соединены знаком деления, называется частное.


Стр. 92 учебника 2023-2024:

Знак сложения: + (плюс),

знак вычитания: - (минус).

Знаком сложения соединены числа в выражениях, которые называются сумма, знаком вычитания соединены числа в выражениях, которые называются разность.

5 + 8 - сумма, 14 - 7 - разность.

Вопрос

Выберите год учебника

Стр. 92 учебника 2011-2022:

3. Покажи, как умножение можно заменить сложением.

7 • 3 38 • 4 156 • 2 9 • 6

Стр. 92 учебника 2023-2024:

3. Как называются при сложении и вычитании данные числа и число, которое получается в результате выполнения действия?

Подсказка

Стр. 92 учебника 2011-2022:

Повтори, как называются числа при сложении и умножении.


Стр. 92 учебника 2023-2024:

Повтори, как называются числа при сложении и вычитании.

Ответ

Стр. 92 учебника 2011-2022:

Решение

7 • 3 = 7 + 7 + 7

38 • 4 = 38 + 38 + 38 + 38

156 • 2 = 156 + 156

9 • 6 = 9 + 9 + 9 + 9 + 9 + 9


Пояснение

Умножением можно заменить на сумму одинаковых слагаемых.


Стр. 92 учебника 2023-2024:

5 (первое слагаемое) + 8 (второе слагаемое) = 13 (сумма)

14 (уменьшаемое) - 7 (вычитаемое) = 7 (разность)

Вопрос

Выберите год учебника

Стр. 92 учебника 2011-2022:

4. Вставь знак >, < или = так, чтобы получилось верное равенство или неравенство.

37 • 4 + 5 37 • 5

68 • 7 68 • 7 + 68

7 • 9 7 • 10 - 7


Стр. 92 учебника 2023-2024:

4. Прочитай, используя различные словесные формулировки, следующие равенства:

26 + 8 = 34

72 - 14 = 58

Подсказка

Стр. 92 учебника 2011-2022:

Повтори, что такое равенство и неравенство.


Стр. 92 учебника 2023-2024:

Повтори, как называются числа при сложении и вычитании.

Ответ

Стр. 92 учебника 2011-2022:

Решение

37 • 4 + 5 < 37 • 5

68 • 7 < 68 • 7 + 68

7 • 9 = 7 • 10 - 7


Пояснение

37 • 4 + 5 < 37 • 5,

так как

37 • 5 = 37 • 4 + 37

и

5 < 37

68 • 7 < 68 • 7 + 68,

так как

68 • 7 + 68 = 68 • 8

и

7 < 8

7 • 9 = 7 • 10 - 7,

так как

7 • 9 = 7 • 9


Стр. 92 учебника 2023-2024:

26 + 8 = 34

Сумма чисел 26 и 8 равна 34.

26 плюс 8 равно 34.

К 26 прибавить 8, получится 34.

Первое слагаемое 26, второе слагаемое - 8, сумма - 34.


72 - 14 = 58

Разность чисел 72 и 14 равна 58.

72 минус 14 равно 58.

Из 72 вычесть 14, получится 58.

Уменьшаемое 72, вычитаемое 14, разность 58.

Вопрос

Выберите год учебника

Стр. 92 учебника 2011-2022:

5. Как называются при умножении и делении данные числа и число, которое получается в результате выполнения действия?


Стр. 92 учебника 2023-2024:

5. Рассмотри примеры и ответь на вопросы: 1) Что получится, если из суммы двух слагаемых вычесть одно из них? 2) Что получится, если к разности прибавить вычитаемое? 3) Что получится, если из уменьшаемого вычесть разность?

1) 37 + 48 = 85

    85 - 37 = 48

    85 - 48 = 37

2) 93 - 26 = 67

    67 + 26 = 93

    93 - 67 = 26

Подсказка

Стр. 92 учебника 2011-2022:

Повтори, как называются числа при умножении и делении.


Стр. 92 учебника 2023-2024:

Повтори, как называются числа при сложении и вычитании.

Ответ

Стр. 92 учебника 2011-2022:

8 (первый множитель) • 5 (второй множитель) = 40 (произведение)

40 (делимое) : 8 (делитель) = 5 (частное)


Стр. 92 учебника 2023-2024:

1) Если из суммы двух слагаемых вычесть одно из них, то получится другое слагаемое.

2) Если к разности прибавить вычитаемое, то получится уменьшаемое.

3) Если из уменьшаемого вычесть разность, то получится вычитаемое.

Вопрос

Выберите год учебника

Стр. 92 учебника 2011-2022:

6. Прочитай, используя различные словесные формулировки, следующие равенства:

18 • 3 = 54 128 : 4 = 32

Стр. 92 учебника 2023-2024:

6. После того как из числа 600 вычли задуманное число, получили 170. Какое число задумали?

Подсказка

Стр. 92 учебника 2011-2022:

Повтори, как называются числа при умножении и делении, а также что такое равенства.


Стр. 92 учебника 2023-2024:

Повтори, как решать уравнения.

Ответ

Стр. 92 учебника 2011-2022:

18 • 3 = 54

1) 18 умножить на 3 равно 54.

2) Произведение 18 и 3 равно 54.

3) Первый множитель 18, второй 3, произведение 54.

4) 18 умножить на 3, получится 54.


128 : 4 = 32

1) 128 разделить на 4 равно 54.

2) Частное 128 и 4 равно 32.

3) Делимое 128, делитель 4, частное 32.

4) 128 разделить на 4, получится 32.


Стр. 92 учебника 2023-2024:

Решение

Задумали число 430.


Пояснение

600 - = 170

Чтобы найти неизвестное вычитаемое, нужно из уменьшаемого вычесть разность

= 600 - 170

= 430

Вопрос

Выберите год учебника

Стр. 92 учебника 2011-2022:

7. Составь и реши задачи на умножение и деление, используя слова: "Купили ... вещей по цене ... р.", "Сколько раз по ... содержится в ...?", "Сколько получится в каждой части, если ... разделить на ... равных частей?", "... больше в ... раз", "... меньше в ... раз", "Во сколько раз ... больше, чем ...?", "... в ... раз меньше, чем ...".


Стр. 92 учебника 2023-2024:

7. 1) Объясни два способа проверки сложения и вычитания.

+ 3 7 5
1 2 3
  4 9 8
Проверка:
- 4 9 8
1 2 3
  3 7 5
- 4 9 8
3 7 5
  1 2 3
     
- 8 6 7
4 8 2
  3 8 5
Проверка:
+ 4 8 2
3 8 5
  8 6 7
     
- 8 6 7
3 8 5
  4 8 2

2) Вычисли и сделай проверку.

79 108 + 21 892 200 100 - 109 678

3) Найди сумму и проверь различными способами.

1 386 + 20 049 + 63 108 + 732

Подсказка

Стр. 92 учебника 2011-2022:

Повтори, как узнать во сколько раз больше или меньше, случаи внетабличного умножения, а также способы оформления краткой записи к задаче.


Стр. 92 учебника 2023-2024:

Повтори алгоритм письменного сложения и вычитания многозначных чисел, а также порядок действий.

Ответ

Стр. 92 учебника 2011-2022:

Вариант ответа #1:

Купили 8 тетрадей по цене 20 р. Какова стоимость всей покупки?


Сколько раз по 6 содержится в 54?

54 : 6 = 9 (раз)

Ответ: в 54 содержится 9 раз по 6.


В ателье имеется 48 м ткани. Сколько метров ткани получится в каждой части, если всю имеющуюся ткань разделить на 8 равных частей?


У Кати 9 красных шаров, а синих в 3 раза больше. Сколько у Кати синих шаров?


У Ани в коллекции 30 марок, а у Коли в 3 раза меньше. Сколько марок в коллекции у Коли?


В музыкальный кружок ходит 20 детей, а в танцевальный - 10 детей. Во сколько раз в музыкальном кружке больше детей, чем в танцевальном?


У Артема 8 фломастеров, что в 3 раза меньше, чем У Дениса. Сколько фломастеров у Дениса?

Вариант ответа #2:

Решение

1. Купили 15 вещей по цене 5 р. Какова стоимость всей покупки?

5 • 15 = 75 (р.)

Ответ: стоимость всей покупки - 75 р.


2. Сколько раз по 5 содержится в 25?

25 : 5 = 5 (р.)

Ответ: 5 раз по 5 содержится в 25.


3. Сколько получится в каждой части, если 40 разделить на 5 равных частей?

40 : 5 = 8

Ответ: в каждой части получится по 8.


4. В 1 группе занималось 10 детей, а в другой в 2 раза больше. Сколько детей занималось во 2 группе?

10 • 2 = 20 (д.)

Ответ: 20 детей занималось во 2 группе.


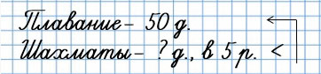
5. Плаванием занималось 50 детей, а шахматами - в 5 раз меньше. Сколько детей занималось шахматами?

50 : 5 = 10 (д.)

Ответ: шахматами занималось 10 детей.


6. Во сколько раз 35 больше, чем 5?

35 : 5 = 7 (р.)

Ответ: 35 больше, чем 5, в 7 раз.


7. Искомое число в 8 раз меньше, чем 96. Какое число задумали?

96 : 8 = 12

Ответ: искомое число - 12.


Пояснение

1.


4.


5.


Стр. 92 учебника 2023-2024:

Решение

1) Проверка сложения:

- можно из суммы вычесть второе слагаемое и в результате вычитания должно получится первое слагаемое;

- можно из суммы вычесть первое слагаемое и в результате вычитания должно получится второе слагаемое.

Проверка вычитания:

- можно к вычитаемому прибавить разность и в результате сложения должно получится уменьшаемое;

- можно из уменьшаемого вычесть разность и в результате вычитания должно получится вычитаемое.

2)



3) 1386 + 20049 + 63108 + 732 = 85275

85275 - 1386 - 20049 - 63108 = 732

85275 - 1386 - 20049 - 732 = 63108

85275 - 1386 - 63108 - 732 = 20049

85275 - 20049 - 63108 - 732 = 1386


Пояснение

1386 + 20049 + 63108 + 732 = 85275

1) 1386 + 20049 = 21435

+ 2 0 0 4 9
  1 3 8 6
  2 1 4 3 5

2) 21435 + 63108 = 84543

+ 2 1 4 3 5
6 3 1 0 8
  8 4 5 4 3

3) 84543 + 732 = 85275

+ 8 4 5 4 3
    7 3 2
  8 5 2 7 5

 

Вопрос

Выберите год учебника

Стр. 92 учебника 2011-2022:

8. Что получится, если 1) произведение двух чисел разделить на один из множителей; 2) умножить делитель на частное; 3) разделить делимое на частное?


Стр. 92 учебника 2023-2024:

Ребусы

Подсказка

Стр. 92 учебника 2011-2022:

Повтори, как называются числа при умножении и делении.


Стр. 92 учебника 2023-2024:

Повтори алгоритм письменного сложения и вычитания многозначных чисел.

Ответ

Стр. 92 учебника 2011-2022:

1) Если произведение двух чисел разделить на один из множителей, то получится другой множитель.

2) Если делитель умножить на частное, то получится делимое.

3) Если делимое разделить на частное, то получится делитель.


Стр. 92 учебника 2023-2024:

Решение


Пояснение

Складываю единицы: 6 + 3 + 8 = 17. В единицах получилось 0. Значит, нужно добавить число 3, так как 17 + 3 = 20. 2 дес. запомню и прибавлю к десяткам.

Складываю десятки: 2 + 7 + 2 = 11, да ещё 2. 11 + 2 = 13. А в десятках получилось 3. Значит, нужно добавить число 0. 1 сот. запомню и прибавлю к сотням.

Складываю сотни: 3 + 1 + 4 = 8, да ещё 1. 8 + 1 = 9. А в сотнях получилось 6. Значит, нужно добавить число 7, так как 9 + 7 = 16.


Вычитаю единицы: из 7 нельзя вычесть какое-то число, чтобы получилось 9. Беру 1 сот. из 5 сот. (Чтобы не забыть об этом, ставлю точку над цифрой 5.) 1 сот. = 10 дес. Беру 1 дес. из 10 дес. (Чтобы не забыть об этом, ставлю точку над цифрой 0). 1 дес. и 7 ед. - это 17 ед. Из 17 вычесть 9, получится 8.

Вычитаю десятки: было 10 дес., осталось 9 дес. 9 - 6 = 3.

Вычитаю сотни: было 5 сот., осталось 4 сот. 4 - 0 = 4.

Вычитаю тысячи: 2 - 1 = 1.

Вопрос

9. 1) Объясни два способа проверки умножения и деления.

14 • 6 = 84

Проверка:

84 : 6 = 14

84 : 14 = 6

98 : 7 = 14

Проверка:

14 • 7 = 98

98 : 14 = 7

2) Вычисли и сделай проверку.

356 • 8 45 360 : 9

Подсказка

Повтори алгоритм письменного умножения и деления многозначных чисел, а также как называются числа при умножении и делении.

Ответ

1) Проверка умножения:

- Можно произведение разделить на один из множителей и в результате деления должен получиться другой множитель.

Проверка деления:

- можно делимое разделить на частное и в результате деления должен получится делитель;

- можно частное умножить на делитель и в результате умножения должно получиться делимое.

2)

Вопрос

Ребус

Подсказка

Повтори случаи табличного умножения.

Ответ

 

Вернуться к содержанию учебника