Вернуться к содержанию учебника
Выберите год учебника
Стр. 15 учебника 2011-2022:
74. Выполни деление с объяснением:
| 832 : 4 | 924 : 3 | 618 : 2 | 603 : 3 |
Стр. 15 учебника 2023-2024:
75. Выполни деление с объяснением:
| 832 : 4 | 924 : 3 | 618 : 2 | 603 : 3 |
Повтори алгоритм письменного деления трёхзначного числа.
Решение

Пояснение
Пишу: 832 : 4.
Делю сотни: сотен 8.
Разделю 8 на 4. В частном будет 2 сот.
Умножу: 2 • 4 = 8. Разделили 8 сот.
Вычту: 8 - 8 = 0. Сотни разделили все.
Делю десятки: десятков 3.
Делю десятки: десятков 3, но 3 дес. нельзя разделить на 4 так, чтобы в частном получились десятки. Пишу в частном 0.
Умножу: 0 • 4 = 0. Разделили 0 дес.
Вычту: 3 - 0 = 3. Осталось разделить 3 дес.
Делю единицы: 3 дес. и 2 ед - это 32 ед.
Разделю 32 на 4. В частном будет 8 ед.
Умножу: 8 • 4 = 32. Разделили 32 ед.
Вычту: 32 - 32 = 0. Единицы разделили все.
Читаю ответ: 208.
Пишу: 924 : 3.
Делю сотни: сотен 9.
Разделю 9 на 3. В частном будет 3 сот.
Умножу: 3 • 3 = 9. Разделили 9 сот.
Вычту: 9 - 9 = 0. Сотни разделили все.
Делю десятки: десятков 2, но 2 дес. нельзя разделить на 3 так, чтобы в частном получились десятки. Пишу в частном 0.
Умножу: 0 • 3 = 0. Разделили 0 дес.
Вычту: 2 - 0 = 2. Осталось разделить 2 дес.
Делю единицы: 2 дес. и 4 ед. - это 24 ед.
Разделю 24 на 3. В частном будет 8 ед.
Умножу: 8 • 3 = 24. Разделили 24 ед.
Вычту: 24 - 24 = 0. Единицы разделили все.
Читаю ответ: 308.
Пишу: 618 : 2.
Делю сотни: сотен 6.
Разделю 6 на 2. В частном будет 3.
Умножу: 3 • 2 = 6. Разделили 6 сот.
Вычту: 6 - 6 = 0. Сотни разделили все.
Делю десятки: десятков 1, но 1 дес. нельзя разделить на 2 так, чтобы в частном получились десятки. Пишу в частном ноль.
Умножу: 0 • 2 = 0. Разделили 0 дес.
Вычту: 1 - 0 = 1. Осталось разделить 1 дес.
Делю единицы: 1 дес. и 8 ед. - это 18 ед.
Разделю 18 на 2. В частном будет 9 ед.
Умножу: 9 • 2 = 18. Разделили 18 ед.
Вычту: 18 - 18 = 0. Единицы разделили все.
Читаю ответ: 309.
Пишу: 603 : 3.
Делю сотни: сотен 6.
Разделю 6 на 3. В частном будет 2 сот.
Умножу: 2 • 3 = 6. Разделили 6 сот.
Вычту: 6 - 6 = 0. Сотни разделили все.
Делю десятки: десятков 0.
Разделю 0 на 3. В частном будет 0 дес.
Умножу: 0 • 3 = 0. Разделили 0 дес.
Вычту: 0 - 0 = 0. Десятки разделили все.
Делю единицы: единиц 3.
Разделю 3 на 3. В частном будет 1 ед.
Умножу: 1 • 3 = 3. Разделили 3 ед.
Вычту: 3 - 3 = 0. Единицы разделили все.
Читаю ответ: 201.
Выберите год учебника
Стр. 15 учебника 2011-2022:
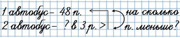
75. В одном автобусе 48 пассажиров, а в другом - в 3 раза больше. На сколько человек в первом автобусе меньше, чем во втором?
Стр. 15 учебника 2023-2024:
76. В одном автобусе 48 пассажиров, а в другом - в 3 раза больше. На сколько человек в первом автобусе меньше, чем во втором?
Решение
1) 48 • 3 = 144 (п.) - в другом автобусе.
| × | 4 | 8 | |
| 3 | |||
| 1 | 4 | 4 |
2) 144 - 48 = 96 (п.)
| • | |||
| - | 1 | 4 | 4 |
| 4 | 8 | ||
| 9 | 6 |
Ответ: в 1 автобусе на 96 пассажиров меньше, чем во втором.
Пояснение

Сколько пассажиров было в другом автобусе?
1) 48 • 3 = 144 (п.)
На сколько пассажиров меньше в первом автобусе?
2) 144 - 48 = 96 (п.)
Сначала узнаем, сколько человек в другом автобусе. Мы знаем, что в первом - 48 пассажиров, а в другом - в 3 раза больше:
1) 48 • 3 = 144 (п.)
Теперь мы знаем, что в первом автобусе 48 пассажиров, а во втором - 144 пассажира, и можем найти разницу:
2) 144 - 48 = 96 (п.)
Выберите год учебника
Стр. 15 учебника 2011-2022:
76. Для похода туристы закупили 96 банок консервов. В день они расходовали по 8 банок. Сколько банок консервов у них останется после 10 дней похода?
Стр. 15 учебника 2023-2024:
77. Для похода туристы закупили 96 банок консервов. В день они расходовали по 8 банок. Сколько банок консервов у них останется после 10 дней похода?
Решение
1) 8 • 10 = 80 (б.) - израсходовано.
2) 96 - 80 = 16 (б.)
Ответ: 16 банок останется.
Пояснение

Сколько банок консервов израсходовали туристы?
1) 8 • 10 = 80 (б.)
Сколько банок консервов осталось?
2) 96 - 80 = 16 (б.)
Нам известно, что туристы были в походе 10 дней, в каждый из которых расходовали по 8 банок. Узнаем, сколько всего банок они истратили:
1) 8 • 10 = 80 (б.)
Мы знаем, что у туристов было 96 банок консервов, а израсходовали они - 80. Узнаем, сколько банок осталось:
2) 96 - 80 = 16 (б.)
Выберите год учебника
Стр. 15 учебника 2011-2022:
77. Масса 3 одинаковых пачек чая 150 г.
1) Найди массу 7 таких пачек.
2) Сколько таких пачек содержат 100 г чая?
Стр. 15 учебника 2023-2024:
78. Масса 3 одинаковых пачек чая 150 г.
1) Найди массу 7 таких пачек.
2) Сколько таких пачек содержат 100 г чая?
Решение
1) 150 : 3 = 50 (г) - масса 1 пачки.
2) 50 • 7 = 350 (г) - масса 7 пачек.
3) 100 : 50 = 2 (п.) - содержат 100 г чая.
Ответ: 350 г, 2 пачки.
Пояснение

Нам известно, что масса 3 одинаковых пачек чая 150 г. Найдём массу одной пачки:
1) 150 : 3 = 50 (г)
Мы знаем, что масса 1 пачки - 50 г. Найдём массу 7 таких пачек:
2) 50 • 7 = 350 (г)
Известно, что масса 1 пачки - 50 г. Узнаем, какое количество пачек содержат 100 г чая:
3) 100 : 50 = 2 (п.)
Выберите год учебника
Стр. 15 учебника 2011-2022:
78. Вычисли и проверь деление умножением:
837 : 9
658 : 2
726 : 3
568 : 8
136 : 4
Стр. 15 учебника 2023-2024:
79. Вычисли и проверь деление умножением:
837 : 9
658 : 2
726 : 3
568 : 8
136 : 4
Решение



Пояснение
Чтобы проверить деление умножением, нужно частное умножить на делитель и в результате умножения должно получиться делимое.
Пишу: 658 : 2.
Делю сотни: сотен 6.
Разделю 6 на 2. В частном будет 3 сот.
Умножу: 3 • 2 = 6. Разделили 6 сот.
Вычту: 6 - 6 = 0. Сотни разделили все.
Делю десятки: десятков 5.
Разделю 5 на 2. В частном будет 2.
Умножу: 2 • 2 = 4. Разделили 4 дес.
Вычту: 5 - 4 = 1. Осталось разделить 1 дес.
Делю единицы: 1 дес. и 8 ед. - это 18 ед.
Разделю 18 на 2. В частном будет 9 ед.
Умножу: 9 • 2 = 18. Разделили 18 ед.
Вычту: 18 - 18 = 0. Единицы разделили все.
Читаю ответ: 349.
Пишу: 329 • 2.
Умножаю единицы: 9 • 2 = 18. 18 ед. - это 1 дес. 8 ед., 8 ед. пишу под единицами, а 1 дес. запомню и прибавлю его к десяткам после умножения десятков.
Умножаю десятки: 2 • 2 = 4. К 4 дес. прибавлю 1 дес., который получен при умножении единиц: 4 + 1 = 5. Пишу 5 под десятками.
Умножаю сотни: 3 • 2 = 6. Пишу 6 под сотнями.
Читаю ответ: 658.
Далее рассуждаем аналогично.
Выберите год учебника
Стр. 15 учебника 2011-2022:
79. 1)
| 960 : 3 | 945 - 9 • 5 : 3 |
| 780 : 6 | 600 + 6 • 7 : 2 |
| (200 + 450) : 5 | |
| (720 - 120) : 3 | |
2)
| 507 + 230 + 187 | 367 + 178 + 264 |
Стр. 15 учебника 2023-2024:
80. 1)
| 960 : 3 | 945 - 9 • 5 : 3 |
| 780 : 6 | 600 + 6 • 7 : 2 |
| (200 + 450) : 5 | |
| (720 - 120) : 3 | |
2)
| 507 + 230 + 187 | 367 + 178 + 264 |
Решение
1)
| 960 : 3 = 320 | 945 - 9 • 5 : 3 = 930 |
| 780 : 6 = 130 | 600 + 6 • 7 : 2 = 621 |
| (200 + 450) : 5 = 130 | |
| (720 - 120) : 3 = 200 | |
2) 507 + 230 + 187 = 924
367 + 178 + 264 = 809
Пояснение
1)
| 960 : 3 = 900 : 3 + 60 : 3 = 320 |
| 780 : 6 = 600 : 6 + 180 : 6 = 130 |
|
1) 9 • 5 = 45 2) 45 : 3 = 15 3) 945 - 15 = 930 |
|
1) 6 • 7 = 42 2) 42 : 2 = 21 3) 600 + 21 = 621 |
|
1) 200 + 450 = 650 2) 650 : 5 = 500 : 5 + 150 : 5 = 130 |
|
1) 720 - 120 = 600 2) 600 : 3 = 200 |
2)

Выберите год учебника
Стр. 15 учебника 2011-2022:
80. Из этих фигур можно составить прямоугольник. Узнай его площадь.

Стр. 15 учебника 2023-2024:
81. Начерти и вырежи такие фигуры. Составь из них прямоугольник и определи его площадь.

Повтори, как найти площадь прямоугольника.
Вычисли.
| 327 : 3 | 836 : 4 |
Повтори алгоритм письменного деления трёхзначного числа.
Решение

Пояснение
Пишу: 327 : 3.
Делю сотни: сотен 3.
Разделю 3 на 3. В частном будет 1 сот.
Умножу: 1 • 3 = 3. Разделили 3 сот.
Вычту: 3 - 3 = 0. Сотни разделили все.
Делю десятки: десятков 2, но 2 дес. нельзя разделить на 3 так, чтобы в частном получились десятки. Пишу в частном 0.
Умножу: 0 • 2 = 0. Разделили 0 дес.
Вычту: 2 - 0 = 2. Осталось разделить 2 дес.
Делю единицы: 2 дес.и 7 ед. - это 27 ед.
Разделю 27 на 3. В частном будет 9 ед.
Умножу: 9 • 3 = 27. Разделили 27 ед.
Вычту: 27 - 27 = 0. Единицы разделили все.
Читаю ответ: 109.
Делю сотни: сотен 8.
Разделю 8 на 4. В частном будет 2 сот.
Умножу: 2 • 4 = 8. Разделили 8 сот.
Вычту: 8 - 8 = 0. Сотни разделили все.
Делю десятки: десятков 3, но 3 дес. нельзя разделить на 4 так, чтобы в частном получились десятки. Пишу в частном 0.
Умножу: 0 • 4 = 0. Разделили 0 дес.
Вычту: 3 - 0 = 3. Осталось разделить 3 дес.
Делю единицы: 3 дес. и 6 ед. - это 36 ед.
Разделю 36 на 4. В частном будет 9 ед.
Умножу: 9 • 4 = 36. Разделили 36 ед.
Вычту: 36 - 36 = 0. Единицы разделили все.
Читаю ответ: 209.

Вернуться к содержанию учебника